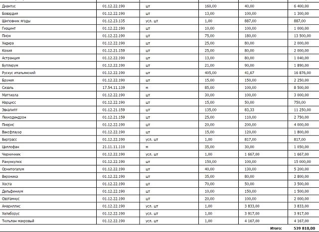
Администрация губернатора Свердловской области провела аукцион на закупку цветов и букетов. Сумма контракта – более полумиллиона рублей, причем стоимость некоторых позиций оценивается в несколько тысяч, самый дорогой цветок – роза за 11 тысяч рублей.
Аукцион по закупке «Приобретение цветочной продукции для нужд Администрации Губернатора Свердловской области» прошел в пятницу, сейчас комиссия рассматривает результаты. Всего администрация «нуждается» в 87 позициях и более чем в пяти тысячах цветов, среди которых – эхинацея, каллы, кустовая роза, хризантемы, гвоздики, в списке также попадаются мята, розмарин, ежевика, эвкалипт, целлофан и лента для оформления. Самая дорогая позиция – роза английская, закупают ее в одном экземпляре (одной усл. штуке), стоит он 11 266,00 рублей. По одной штуке закупаются амариллис (3833 руб.), хелеборус (3917 руб.), тюльпан махровый (4167 руб.). Начальная стоимость контракта – 539 тысяч 810 рублей.
В техзадании также указаны букеты, в которые должны быть оформлены цветы. Вариантов букетов 51 – это протокольный, настольный и несколько десятков вариантов вида «праздничный». Отмечено, что «поставщик должен выполнять заявки заказчика круглосуточно, в том числе в выходные и праздничные дни», поставка осуществляется до 31 декабря этого года.
Екатеринбург, Светлана Загороднева
Екатеринбург. Другие новости 14.09.15
Бдительный сосед и сотрудники полиции не дали двухлетнему ребенку выпасть из окна. / На свердловских выборах победили единороссы и самовыдвиженцы. / Екатеринбурженка лишилась ноги, угодив под колеса трамвая. Читать дальше
Отправляйте свои новости, фото и видео на наш мессенджер +7 (901) 454-34-42
© 2015, РИА «Новый День»

